Quartz 4
Search
Search
Dark mode
Light mode
Reader mode
Explorer
Home
❯
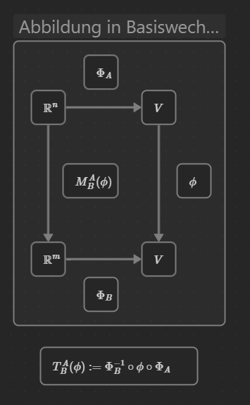
Abbildung in Basiswechsel
Abbildung in Basiswechsel
Mar 07, 2026
1 min read
uni/Mat1
Satz
Satz (Transformationsformel)
M
B
′
A
′
(
ϕ
)
=
T
B
′
B
⋅
M
B
A
(
ϕ
)
⋅
(
T
A
′
A
)
−
1
Graph View
Table of Contents
Satz
Satz (Transformationsformel)
Backlinks
Basis wechsel