ex1-0.pdf
Diskrete_Mathematik_Lösung_UE_01-0.pdf

Exercise 1.1
A graph is called self-complementary if it is isomorphic to its own complement.
- Show that when G is self-complementary on n vertices,
we have or . (3 Punkte)
Die Menge aller Kanten ist:
Damit gerade ist muss oder durch 4 teilbar sein,
da nicht beide gerade sein können.
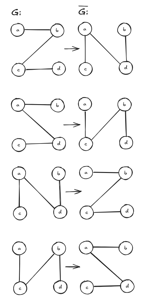
- Find all self-complementary graphs with at most 4 vertices. (3 Punkte)
all Graphs with no edges:
proof:
all Graphs that form a Z:
proof:
the compliment also forms a rotated Z:
1.2
Angenommen die Bücher werden möglichst gleichmäßig gewählt.
Wenn jedes der 23 title 3 mal gewählt werden würde dann wären das nur
Wahlen.
Da Bücher gewählt werden muss ein Buch 4x gewählt werden.
1.3
Each year is chosen at least times.
We round up because each year is chosen the same number.
so there must be a day with 3 people.
