diskret


stetig


Beispiele diskret
Simple Idee für Würfelwurf


Erstes Beispiel: Indikatorvariablen

Zweites Beispiel: Diskrete Gleichverteilungen

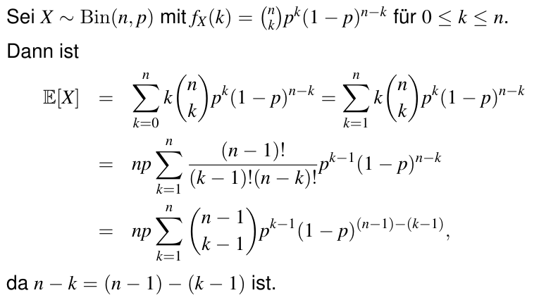
Drittes Beispiel: Binomialverteilungen



Beispiele zum stetigen Erwartungswert
Erstes Beispiel: Rechteckverteilungen


Zweites Beispiel: Exponentialverteilungen


Drittes Beispiel: Normalverteilungen

