Quartz 4

Home

❯

Generating Functions

Generating Functions

Mar 07, 20261 min read

  • uni/DisMat

Generating Fibunacci Numbers

Cauchy Product

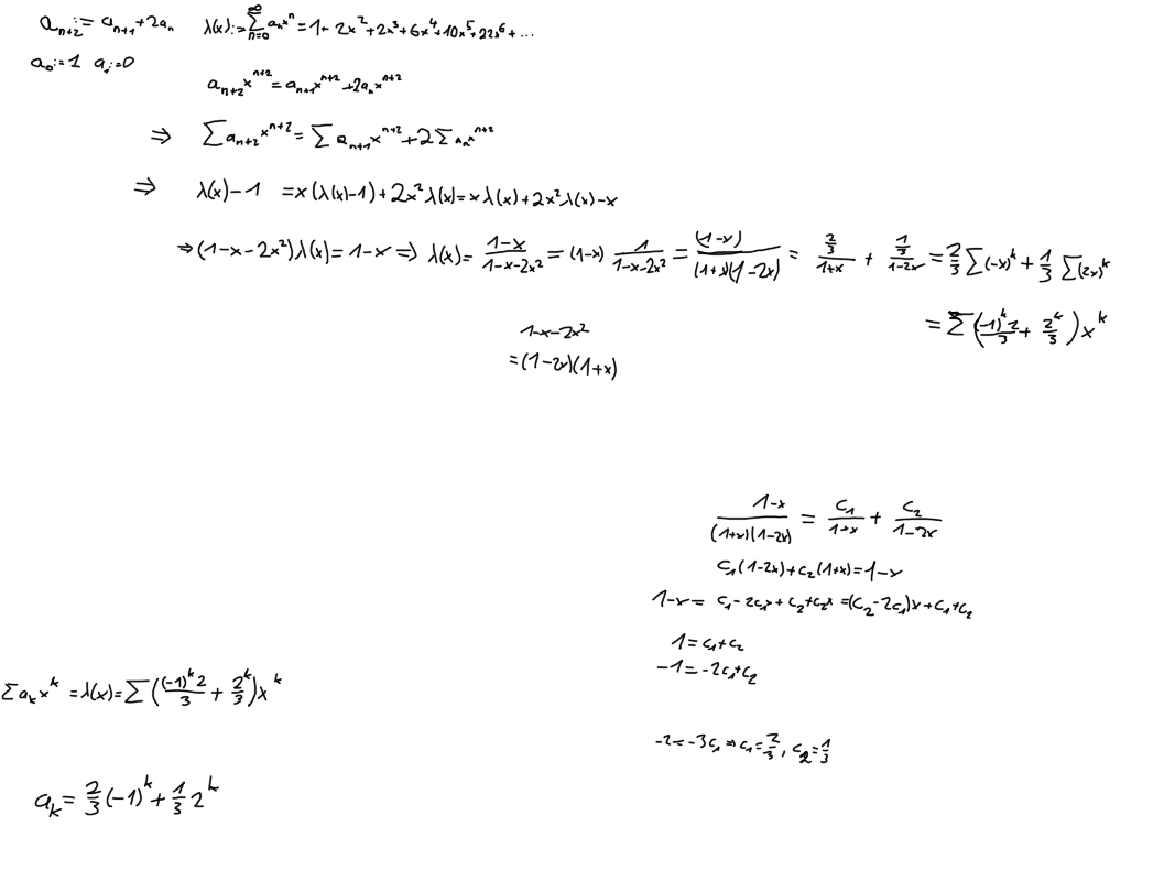
Homogenous linear recursion with simple roots
Homogenous linear recursion with multiple roots

Beispiel Notizen


Graph View

Backlinks

  • DisMat VL 13-11-2025
  • DisMat VL 18-11-2025
  • Discrete Mathematics MOC
  • Enumarative combinatorics
  • combinatorial identities

Created with Quartz v4.5.1 © 2026

  • GitHub
  • Discord Community