Quartz 4

Home

❯

Norm in Quantum Space

Norm in Quantum Space

Mar 07, 20261 min read

  • uni/QC

Norm
Unit Vector

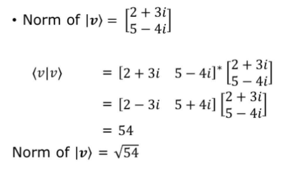
Example


Graph View

Backlinks

  • Complex Inner product
  • Quanten Computing MOC

Created with Quartz v4.5.1 © 2026

  • GitHub
  • Discord Community