Quartz 4
Search
Search
Dark mode
Light mode
Reader mode
Explorer
Home
❯
Univariater Kerndichteschätzer
Univariater Kerndichteschätzer
Mar 07, 2026
0 min read
uni/Mat3
Graph View
Backlinks
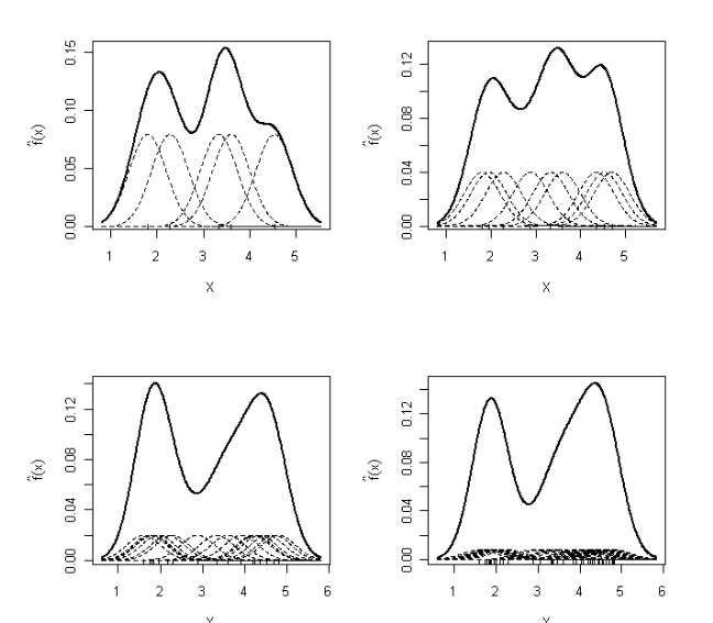
Kernfunktionen