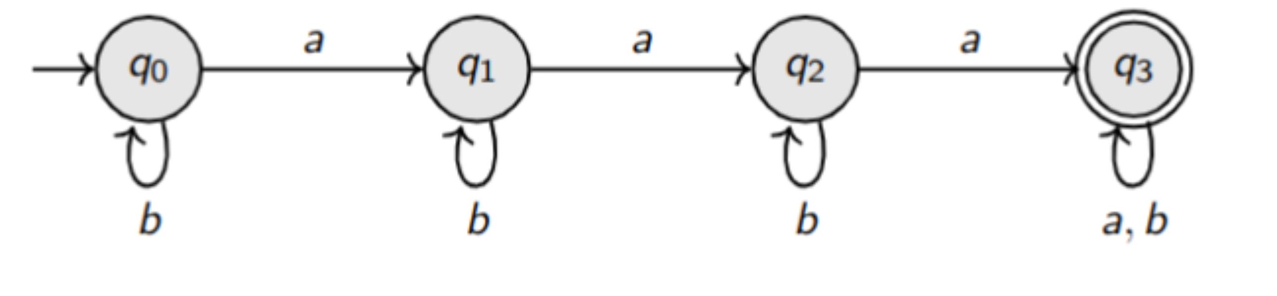
Definition
- Q eine endliche Menge von Zuständen ist
- ein Eingabealphabet ist
- der Anfangszustand ist
- die Übergangsfunktion ist
- eine Menge von akzeptierenden Zuständen ist

Definition
- Q eine endliche Menge von Zuständen ist
- ein Eingabealphabet ist
- der Anfangszustand ist
- die Übergangsfunktion ist
- eine Menge von akzeptierenden Zuständen ist
