Definition
Sei eine Reguläre Sprache. (sodass Die Nerode-Rechtskongruenz einen endlichen Index hat)
Der kanonische DEA zu L ist definiert durch:
siehe auch kanonisch
Satz
kanonischer-DEA ist ein minimaler DEA


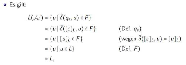
Beweis

siehe auch:
Definition
Sei eine Reguläre Sprache. (sodass Die Nerode-Rechtskongruenz einen endlichen Index hat)
Der kanonische DEA zu L ist definiert durch:
siehe auch kanonisch
kanonischer-DEA ist ein minimaler DEA



siehe auch: